INTRODUCCION
En las recientes prácticas de laboratorio, se efectuaron diversas experiencias con diodos zener iniciando con un reconocimiento técnico de estos dispositivos, para luego analizar su funcionamiento como reguladores de voltaje y finalmente entender el comportamiento de estos dispositivos.
Luego de ello se efectuó una experiencia con trazado de curvas de transistores para el diseño de circuitos amplificadores y determinar sus características volt-amperimétricas. Por lo tanto para corroborar el conocimiento teórico adquirido en clase a través de la práctica, se tomaron diversas mediciones de voltaje en la carga de los 2 diodos zener con sus respectivas corrientes.
De igual forma se caracterizaron 2 diodos zener en conjunto con diversos dispositivos electrónicos para adquirir habilidad de uso y búsqueda en el manual de reemplazo ECG tales como son los reguladores de voltaje de 3 terminales y analizar cómo se obtienen las curvas características del transistor ajustando nuestro osciloscopio y trazador de curvas.

OBJETIVOS
Determinar las características tensión-corriente del diodo zener.
Utilizar el diodo zener como osciloscopio
Manejar correctamente el conjunto trazador de curvas-osciloscopio para ubicar adecuadamente el punto Q de operación para los transistores BJT
MATERIALES USADOS EN LAS PRÁCTICAS
PRÁCTICA 7 (diodos ZENER)
-
1 diodo 1N5232B
-
diodo 1N5240
-
PROTOBOARD
-
Multímetro
-
2 resistencias de 1KΩ
-
1 resistencia de 2 KΩ
PRÁCTICA 8 (TRAZADOR DE CURVAS)
-
1 transistor 2N3904
-
1 transistor 2N3906
-
Trazador de curvas
-
osciloscopio FLUKE
-
papel milimetrado
PROCEDIMIENTO EXPERIMENTAL.
Figura N°1 zener 5.6V
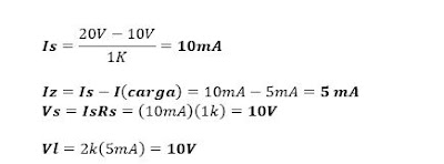
Para este circuito se determinaron los valores de voltaje zener Vz, Voltaje en la carga Vrl; voltaje en R1 y la corriente en el zener cuando se mantenía fijo a 9 volts, luego se efectuaron los cálculos y se obtuvieron datos teóricos y datos prácticos.
Se varió el voltaje de 5 a 20 volts para observar si el diodo zener seguía regulando y se tomaron datos prácticos.
luego se tomó el diodo ZENER 1N5240 a 10 volts, se energizó con 20 volts en la fuente para observar su funcionamiento y de igual forma se efectuaron cálculos para establecer relaciones teórico prácticas.
FIGURA 2 zener a 10V
Para este zener se varió el voltaje de 5 a 23 V para observar su comportamiento
PROCEDIMIENTO PRÁCTICA 8 MANEJO DEL TRAZADOR DE CURVAS
Lo primero que se hizo fue caracterizar en el manual ECG los 2 transistores con los cuales nos disponíamos a trabajar en el laboratorio para este caso el 2N3904 y el 2N3906.
A continuación, se enumeran los pasos iniciales para manejo del conjunto trazador de curvas-osciloscopio fluke PM 3052
-
El osciloscopio debe estar acoplado en DC canales A y B y en modo X-DEFL.
-
Conectar la salida horizontal del trazador a la entrada horizontal del osciloscopio (canal A) y la salida vertical del trazador a la entrada vertical del osciloscopio (canal B).
-
Ajustar selector Voltios/cm del canal A en 2
-
Ajustar selector Voltios/cm del canal B en 0.2
La posición de este selector indica el valor de la corriente de colector en mA/cm. Sí el selector CURRENT LIMIT se encuentra en la posición SIGNAL se debe multiplicar por 10 el valor que indique el selector Voltios/cm y por 100 si la posición
de CURRENT LIMIT es POWER.
-
Selector POWER en off.
-
Selector POLARITY en NPN ó PNP según sea el transistor a probar.
-
Selector CURRENT LIMIT en SIGNAL ó POWER dependiendo si el transistor es de señal ó de potencia.
-
Control H. LENGTH a mitad del recorrido.
-
Selector BASE CURRENT/GATE VOLTAJE en 10 uA.
-
Selector COLLECTOR/DRAIN SWEEP VOLTAJE en 20 V.
-
Control SELECTOR: Posición superior en TRANS ó FET según sea el dispositivo a probar; posición inferior inicialmente en OFF, luego se conmuta a la posición A ó B dependiendo en que zócalo se encuentre el dispositivo.
-
Una vez conmutado el selector POWER a ON y con el control SELECTOR en la posición OFF, aparecerá una traza horizontal en la pantalla. Con el control H LENGTH ajustar la traza hasta que cubra 10 Cms horizontales. En este punto estará calibrado el osciloscopio con el trazador de curvas y cada cm horizontal
Equivaldrá a 2 voltios.
-
Pasando SELECTOR a A ó B aparecerán en pantalla las curvas del transistor. Si aparecen 7 curvas el transistor es de silicio y si aparecen 8 curvas el transistor es de Germanio. La primera curva corresponde a IB = 0 uA. Las siguientes curvas
Cambian cada 10uA ó de acuerdo a selector BASE CURRENT
-
A partir de este momento se puede trazar la recta de carga y escoger el punto de operación que se desee.
FIGURA N°3 trazador de curvas
RESULTADOS
Caracterización de componentes por referencia.
1N5232B= zener 5,6V 1/2W
1N5240= Zener 10V 1/2W
LM7812CT= regulador de voltaje integrado positivo 12V-1 A encapsulado TO220
voltaje de entrada mínimo= 17,5V máximo= 35V corriente máxima= 1A
Potencia de disipación= 15W
L7805CV= regulador de voltaje integrado positivo de 5V 1 A encapsulado TO 220
voltaje de entrada mínimo =7V máximo = 35V corriente máxima = 1 A potencia máxima= 15W
LM7912= regulador de voltaje negativo -12V 1 A voltaje mínimo= -14.5V máximo= -35V corriente máxima= 1 A potencia máxima= 15W
Para el primer circuito propuesto, se toman los valores de tensión en cada uno de los elementos que conforman nuestro circuito estos fueron los resultados
Para el zener de la figura N°2 se realizó el mismo procedimiento realizado con el zener N°1 estos fueron los resultados.
Luego de haber realizado el anterior procedimiento se varió el voltaje entre 5V y 23V para observar cómo es el voltaje a la salida del diodo zener es decir se quita la resistencia de carga y se observa el voltaje en el zener.
Los datos mostrados en la presente tabla corresponden a un diodo zener de 5V
Después de haber obtenido los valores de voltaje a la salida para cada zener cuando se presentaban variaciones en la fuente, se procedieron a efectuar los cálculos para corroborar los resultados obtenidos teóricamente.
RESULTADOS OBTENIDOS LABORATORIO 8 TRAZADOR DE CURVAS
Se caracterizaron inicialmente los 2 transistores a los cuales se les midió la curva característica con el osciloscopio
KSP2222A= Transistor NPN silicio, audio, suiche, amplificador.
Ic max= 0.6 A, Vcb= 75V max Vce= 40V max, Vbe=6V max P=0.625W max frecuencia: 300MHZ
2N3906= Transistor PNP silicio, audio, suiche, amplificador.
Ic max= 1 A, Vcb= 80V max Vce= 80V max, Vbe=6V max SHAPE \* MERGEFORMAT P=0.625W max frecuencia: 200MHZ
El objetivo de esta práctica no era diseñar un transistor, solo caracterizarlo con sus curvas características. Para ello estas fueron dibujadas en papel milimetrado y además se escogió un punto Q para ambas donde se expresa que voltaje de fuente se le debe ingresar y que corrientes están presentes para dicho punto de operación.
Los resultados para estos gráficos son
TRANSISTOR NPN KB 2222A : Nuestro punto Q fue escogido cuando la corriente de colector es aproximadamente 5 mA . La gráfica ha sido mostrada en papel milimetrado.

TRANSISTOR PNP 2N3906: Nuestro punto Q fue escogido cuando la corriente de colector es aproximadamente 6 mA . La gráfica ha sido mostrada en papel milimetrado.
CONCLUSIONES
* Los diodos zener Son llamados diodos de avalancha, pues presentan comportamientos similares a estos, pero los mecanismos involucrados son diferentes. Además si el voltaje de la fuente es inferior a la del diodo éste no puede hacer su regulación característica.
* Si un diodo zener no se energiza a un voltaje proporcional al de fijación, el circuito será como 2 resistencias en serie con una fuente y por ende el diodo se comportará como un circuito abierto.
* Los diodos zener son muy buenos reguladores de tensión de 2 terminales. Estos dispositivos dieron el inicio de desarrollo a los reguladores de tensión integrados. Estos dispositivos no solo los podemos encontrar en aplicaciones con fuentes de tensión, sino también en circuitos con transistores y amplificadores operacionales cuando requerimos voltajes fijos.
* Cuando obtenemos las curvas características de un transistor y seleccionamos un punto Q cualquiera estamos en la capacidad de diseñar circuitos amplificadores sin conocer resistencias ni condensadores de acople y desacople. Bajo esa primicia podemos partir en el diseño de estos sistemas que nos ayudaran a caracterizar muy bien la aplicación que requerimos. Desde sensores fotoeléctricos, ópticos hasta termistores o sensores de temperatura que aumentará o amplificará el nivel de dichas señales débiles de entrada para nuestro caso como futuros ingenieros en instrumentación.
BIBLIOGRAFÍA
-
Malvino Paul Albert. Principios de electrónica (tema: diodo ZENER, circuitos con diodos ZENER,) SEXTA EDICION MC GRAW HILL
-
http://rabfis15.uco.es/transistoresweb/Tutorial_General/curvascaracteristicas.html curvas características de un transistor.
CONTENIDOS MÁS RELEVANTES.



















