Saludos apreciados lectores.
El día de hoy, sensoricx tiene el placer de compartir una GUIA DEFINITIVA para analizar y resolver un sencillo circuito en paralelo.
Ya sea que estés estudiando ingeniería, seas un aficionado al mundo de la electrónica o un entusiasta, esta guía es para ti.
Invirtiendo unos pocos minutos de lectura en este post, te garantizo que aprenderás a analizar un circuito en paralelo de forma práctica y sencilla.
Recuerda siempre que la motivación y las ganas son más importantes que el conocimiento.
¿COMO ANALIZAR UN CIRCUITO EN PARALELO?
Antes que nada debes de tener en cuenta el siguiente enunciado.
« Dos elementos, ramas o redes están en paralelo si tienen dos puntos en común»
Este enunciado nos indica que para formar un circuito en paralelo los elementos de éste, deben estar unidos entre si y tener puntos en común.
Gráficamente, sería algo como lo mostrado en la figura 1.

En la figura 1, se puede observar como los elementos A y B están unidos en ambos extremos del circuito. Cuando se cumple esta condición, se dice que el circuito es PARALELO.
Hay muchas formas de trazado de un circuito en paralelo ¡no se confunda con los gráficos! hay muchas representaciones y estas tienden a confundir al lector. Los diversos tipos de trazados son los mostrados en la figura 2.

Para las resistencias en serie, la resistencia equivalente es igual a la suma de los valores resistivos independientes.
Para las resistencias en paralelo, la resistencia se conoce como CONDUCTANCIA.
La conductancia o resistencia en paralelo es igual a la suma de las conductancias individuales.
La conductancia se expresa por medio de la letra G y su unidad de medida es el siemens.
Su ecuación es denotada por la siguiente expresión.

La expresión para encontrar la resistencia equivalente en paralelo es la siguiente:

Otra expresión con la que se puede encontrar la resistencia equivalente en paralelo es la siguiente:

La resistencia equivalente en paralelo depende de la cantidad de elementos resistivos que se encuentren en el circuito.
En los siguientes ejemplos se harán cálculos de resistencias en paralelo y análisis de circuitos.
EJEMPLOS DE ANÁLISIS DE CIRCUITOS EN PARALELO.
Ejercicio # 1.
Calcular la resistencia equivalente en paralelo para el circuito de la figura 3. Asimismo, calcule la conductancia.

Solución.
Este circuito se analizará paso a paso. Cabe mencionar que hay muchas formas de solucionar este tipo de circuitos.
MÉTODO 1 PARA CALCULAR RESISTENCIAS EQUIVALENTES EN PARALELO.
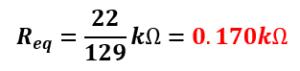
PASO 1. Cálculo de la conductancia y la resistencia en paralelo.
Al igual que en resistencias equivalentes, la conductancia se puede calcular de forma equivalente y para cada elemento. Se puede realizar de la siguiente forma:

La conductancias son 4 debido a que son 4 resistencias.

PASO 2. Se reemplazan los valores de resistencia en la ecuación anterior.
Simplemente se reemplazan los valores en la ecuación anterior y ésta queda de la siguiente forma:

El valor de la resistencia equivalente es de 0.170k aplicando el método de conductancia.
MÉTODO 2 PARA CALCULAR RESISTENCIAS EQUIVALENTES EN PARALELO.
El otro método a emplear es calculando la resistencia equivalente con la ecuación estándar del cálculo de resistencias en paralelo.
En este tipo de métodos se emplea la suma de fraccionarios, por lo cual debes ponerte al día con este concepto matemático si es que aún no lo has estudiado.
Para calcular la resistencia equivalente con la ecuación estándar, primeramente debes multiplicar 3 veces (para este caso) sin tocar el valor donde estás calculando el primer valor de resistencia equivalente.
Posterior a eso debes ir sumando los valores en el numerador ya que lo que tienes es una suma de fraccionarios y en el denominador multiplicas todos los valores.

Al final debes invertir el valor que obtuviste en la fracción y dividirlo.

Como puedes observar, el valor obtenido es similar al primer método que está relacionado con la conductancia.
MÉTODO 3 PARA CALCULAR RESISTENCIAS EQUIVALENTES EN PARALELO.
¿Si recuerdas esta ecuación?

Pues bueno, esta ecuación te ayudará a resolver de forma rápida todo el circuito paralelo planteado en la figura 3.
Lo podemos realizar de la siguiente forma: Paso a Paso o calculando toda la resistencia equivalente del circuito modificando la ecuación planteada en este método.
Para el cálculo de la resistencia equivalente paso a paso, se hará de la siguiente forma:

Se calculará primero el valor de la resistencia equivalente R4 y R3, luego ese cálculo producirá una resistencia equivalente la cual se calculará con R2 y luego esa resistencia equivalente se encontrará con R1.
De esta forma se obtendrá la resistencia equivalente total del circuito en paralelo.
El procedimiento es así:

Hasta este punto, el circuito va quedando de la siguiente forma:

Se sigue calculando la resistencia equivalente y esta vez con R3 y R2.

Hasta este punto, el circuito va quedando de la siguiente forma:

Se sigue calculando la resistencia equivalente y esta vez con R1 y R2.

Y finalmente el circuito queda completamente reducido al mostrado en la figura 7.

MÉTODO 4 PARA CALCULAR RESISTENCIAS EQUIVALENTES EN PARALELO.
Simplemente, para calcular la resistencia equivalente de forma rápida, se colocan los valores de resistencia en el numerador a multiplicar y en el denominador eliminando uno de ellos para evitar operarlos.
Para el caso del ejercicio planteado en la figura 3, la ecuación es la siguiente:

CONCLUSIONES FINALES SOBRE EL CÁLCULO DE CIRCUITOS EN PARALELO.
Está a tu criterio que escojas el método que mejor se acomode a tu método de aprendizaje, recuerda que todas las personas aprendemos de forma diferente y algunos como yo requerimos tiempo.
Si quieres agilidad, el método 4 para resolver circuitos en paralelo es el ideal.
Si eres de los que se toma tiempo para estudiar, el método 3 es el ideal para analizar de forma detallada un circuito de resistencias en paralelo.
La recomendación final es que: Sigas estudiando y no dejes de aprender acerca del maravilloso mundo de los circuitos eléctricos.
CONTENIDOS RELEVANTES.











