Antes que nada te recomendamos que visites los contenidos relacionados con circuitos eléctricos DC con el fin de que tengas bases sólidas para dominar este tema.
Primero que todo, es bueno iniciar con una contextualización profunda sobre lo que se va a tratar y es: ENCONTRAR LAS CORRIENTES DE MALLA PRESENTES EN UN CIRCUITO.
Para llegar a cumplir dicho objetivo se hace conveniente conocer las ecuaciones basadas en las leyes de OHM y KIRCHOFF y conocer los procedimientos matemáticos para la solución de ecuaciones simultáneas como: LA REGLA DE CRAMER.
Un lazo es una trayectoria completamente cerrada que no pasa más de una vez por un nodo (Alexander- Sadiku) . Una malla es un lazo que dentro de ella no contiene otro lazo o sub-lazo.
Para el análisis de lazo, se aplica la ley de voltaje de kirchhoff con el fin de que sea posible calcular las corrientes desconocidas presentes en el circuito.
El análisis de mallas es un método muy popular y tan importante como el análisis de nodos. Hay un parámetro importante y es: la disposición circuital. Los circuitos pueden ser planos o no planos.
Se conoce como circuito plano, aquel que no posee ramas cruzadas. Un circuito no plano posee ramas cruzadas. ¡AHORA BIEN! puede ocurrir que el circuito posea dos ramas de disposición no plana pero basta con ajustar la perspectiva del mismo para que se convierta en un circuito de disposición PLANA
EN TÉRMINOS GENERALES, una MALLA es un lazo que no contiene otro lazo dentro de ella.

En el siguiente circuito, las trayectorias a-b-e-f-a y b-c-d-e-b son consideradas mallas y por tanto no existen otras ni son consideradas trayectorias inventadas como mallas. Recuerde que interesa aplicar la ley de voltaje de kirchhoff para encontrar las corrientes de malla en el circuito presente.
PARA HALLAR LAS CORRIENTES DE MALLA SE DEBEN APLICAR LOS SIGUIENTES PASOS
1- Asignar corrientes de malla I1, I2….In a las n mallas.
2- Aplicar la ley de voltaje de kirchhoff a cada una de las n mallas. Recordar usar la ley de ohm para expresar los voltajes en términos de las corrientes.
3- Resolver las n ecuaciones simultáneas resultantes para obtener las corrientes de malla.
VAMOS A ATERRIZAR LOS SIGUIENTES PASOS CON UNA SERIE DE EJEMPLOS.
EJERCICIO 1

Hallar las corrientes I1, I2, e I3 aplicando análisis de malla. Asimismo calcular los voltajes de cada una de la resistencias.
SOLUCIÓN
1- I1 e I2 son las corrientes de malla asignadas.
2- se procede a aplicar la ley de voltaje de kirchhoff a cada una de las mallas.
En lo personal y como editor de este post, me gusta empezar desde el polo negativo de la batería y asumir polaridades a las resistencias conforme al polo positivo para que exista equilibrio eléctrico entre fuentes y elementos circuitales.
EMPEZAMOS
ECUACIÓN DE MALLA 1
![]()
¿ porqué 5 ohm por la corriente I1 ? porque la resistencia pertenece a la corriente de malla I1 además de estar el malla N° 1
¿ porqué 10 ohm por la corriente I1 menos I2 ? si usted mira la polaridad de la resistencia de 10 ohms empieza de positivo a negativo y en la malla 2 va de negativo a positivo es decir: con polaridad invertida, además dicha resistencia se encuentra asociada a ambas mallas.
CONTINUAMOS

Los voltajes pasan a la derecha a sumar y a restar respectivamente.

se operan términos semejantes:
![]()
y finalmente podemos decir que esa es la ecuación de malla número 1, pero para expresarla de una forma más sencilla y sin unidades la escribimos así:

para efectuar el análisis de malla 2, se realiza el mismo procedimiento de la malla 1.

se procede a escribir las dos ecuaciones obtenidas de malla para resolverlas por los diversos métodos de solución de sistemas de ecuaciones lineales. (si no recuerdas los métodos, te aconsejamos ver 2 artículos y vídeos relacionados con la temática)
Clic AQUÍ para ver el artículo relacionado con los sistemas de ecuaciones.
Clic AQUÍ para ver el artículo relacionado con la regla de Cramer.
Clic AQUÍ para ver el vídeo relacionado con los sistemas de ecuaciones.
Clic AQUÍ para ver el vídeo relacionado con la regla de Cramer
Clic AQUÍ para recibir una asesoría matemática concreta sobre sistemas de ecuaciones.

despejamos la ecuación 1:

la ecuación 3 la llevamos a la ecuación 2.

reemplazamos el valor obtenido para calcular la corriente de malla 1.

la corriente 2 se despeja de la corriente 1 que entra al nodo 1 y la corriente 2 y 3 salen de dicho nodo.

¿desea conocer los voltajes que existen en cada una de las resistencias?
Simplemente usted debe multiplicar las corrientes de malla obtenidas por su respectivo valor de resistencia.

EJERCICIO 2
Hallar las corrientes de malla del circuito.

SOLUCIÓN
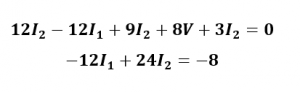
A continuación se muestra todo el procedimiento matemático efectuado para la resolución del circuito. Inicialmente se empieza por encontrar las ecuaciones de malla y aplicar el método de sustitución para encontrar las corrientes.



la corriente 2 tiene un valor de 2/3 de amperes por lo cual restando por dicho valor es igual a cero.
ESPERAMOS QUE ESTE POST HAYA SIDO DE TOTAL AGRADO PARA USTEDES. SALUDOS!
CONTENIDOS MÁS RELEVANTES.











