No se que te parezca redactar un post para control automático que hable acerca de las ecuaciones diferenciales pero honestamente te digo que son muy pero muy importantes estos métodos matemáticos para analizar sistemas de control. Seré breve con esta temática puesto que esto no es un blog de matemáticas. Si deseas investigar de manera más profunda te aconsejo leer el libro de DENNIS G ZILL que entrega información completa sobre la temática. Mi objetivo en este post es resolver dos o 3 ejercicios para que te introduzcas en este maravilloso mundo y decidas si quieres afrontar el reto o no en cuanto a control automático se refiere.
PARA QUE SIRVEN LAS ECUACIONES DIFERENCIALES EN SISTEMAS DE CONTROL?
Las ecuaciones diferenciales para sistemas de control sirven para entender y comprender la dinámica de un sistema de control. Generalmente el modelamiento de un sistema empieza aplicando leyes de la física, planteando las ecuaciones características y buscar un método de solución. Es común aplicar Laplace para resolver estos ejercicios puesto que desglosa el sistema complejo de ecuaciones diferenciales en un sistema algebraico más entendible el cual se hace aplicando ciertas leyes matemáticas de álgebra como es la factorización y obviamente manejando las tablas de las transformadas de Laplace
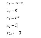
Una ecuación diferencial ordinaria se dice que es lineal respecto a la variable dependiente si cumple con la siguiente estructura.
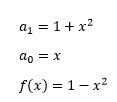
Ejemplo:
No resolveremos nada en este ejercicio, solo identificar las variables que lo acompañan de izquierda a derecha. (el procedimiento lo haremos con Laplace más adelante)
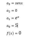
Ejemplo 2.
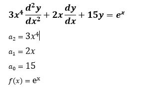
La ecuación
Ejemplo 3.
Pronto seguiremos entregándoles más artículos que pasen un feliz día y sobretodo, vuélvanse cadáveres cultos para que entre todos cambiemos al mundo J J J J
CONTENIDOS MÁS RELEVANTES.











