Para hablar de este medidor o transmisor, debemos iniciar citando al responsable o precursor de este fenómeno físico y nos referimos particularmente al Ingeniero y matemático: GASPARD-GUSTAVE DE CORIOLIS nacido en París Francia el 21 de mayo de 1792 y Fallecido en la ciudad mencionada en el año de 1843. Los estudios de Gaspard se basaron principalmente en el movimiento de sistemas rotativos, principios oscilatorios del cual derivó el denominado “EFECTO CORIOLIS” inicialmente fue profesor de análisis geométrico e ingeniería mecánica en la ÉCOLE CENTRALE PARIS (Escuela Central de parís). Sus principales áreas de actuación académica y científica eran: dinámica de giro de máquinas y movimientos circulares de las mismas. EL EFECTO CORIOLIS (principio físico en su honor). El efecto coriolis se basa en un sistema de referencia en rotación de un cuerpo que se encuentra en movimiento respecto de dicho sistema de referencia. Se dice que el objeto bien sea una masa o un cuerpo posee una aceleración relativa en dicho sistema de rotación por lo cual la cantidad física mencionada (aceleración) será perpendicular al eje de rotación del sistema y a la velocidad de la masa. (no confundir velocidad con aceleración).
IMPORTANCIA DE EL FENÓMENO CORIOLIS
Este fenómeno es el responsable de que los remolinos que se forman en el fondo de un tanque, superficie cerrada gira a derechas en el hemisferio norte y a izquierdas en dirección al hemisferio sur.
Por la rotación presentada en la tierra todos los vientos que van del norte al sur en el hemisferio norte se desvian, y de este a oeste por la fuerza de coriolis sobre las masas de aire de dichos cinturones de presion.
¿QUE FUERZAS ACTÚAN?
La fuerza de coriolis se da de dos formas: la primera de ella es por la inversión de la rapidez lineal del fluido mediante desviaciones de una realimentacion en forma de c invertida en modo de vibración controlada. La vibración del tubo debe ser totalmente perpendicular al sentido del desplazamiento del fluido para de esta manera crear una fuerza de aceleración en el tubo de entrada del fluido y una fuerza de desaceleración respecto a la de salida. De esta manera se generaría un par torsional cuyo sentido varia de acuerdo a la vibración y con el angulo de torsión del tubo ya que es proporcional a la masa del fluido que se encuentra circulando.
Las ecuación que describe el principio mencionado anteriormente está deducida como:
Donde;
F es la fuerza de coriolis
m es la masa del fluido que está contenida en el tubo recto de longitud L
W es la velocidad angular alrededor del eje del tubo que está en forma de omega o de C invertida hacia abajo
V es la velocidad del fluido
El par torsional creado al eje R-R del tubo es igual a:
Recordemos que el tubo debe tener una constante elástica y si esto se cumple entonces entre la constante de elasticidad y el ángulo de torsión (β) la fuerza de torsión del tubo es equivalente al par o torque creado respecto al eje del tubo
Como M = T la ecuación de caudal másico sería la siguiente:
Y de esta manera, el ángulo de torsión del tubo medido con dos sensores situados por encima y por debajo de la linea de eje determinará el caudal: el tubo oscilará y enviará señales electrónicas provenientes del movimiento de dicho fluido en relación a los choques oscilantes en los sensores. Ese tipo de señales viajan en forma de ondas y serán transducidas por un circuito electrónico que hará que el transmisor muestre alguna respuesta a la salida y establezca comunicación remota entre otros dispositivos.
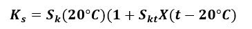
Ks es considerada la constante de elasticidad del tubo y estará determinada por la siguiente expresión matemática:
Donde:
Sktes el coeficiente de corrección de temperatura del material
SK es la constante del sensor a 20°C
t es la temperatura
PARTES DE UN TRANSMISOR DE CORIOLIS
| imagen tomada de: http://www.sapiensman.com/tecnoficio/docs/doc20.php |
MONTAJE DE UN TRANSMISOR DE CAUDAL POR CORIOLIS SITRANS FC430 SIEMENS
| https://www.sec.gov/Archives/edgar/data/1273441/000114420414011239/v367427_ex10-1.htm |
para el montaje del transmisor usted debe primero tener en cuenta el montaje del sensor, transmisor y cableado para una exitosa operación en campo de dicho transmisor. los modos de instalación son: auto vaciado, líquidos y gases y cada uno tiene su analogía.
MODO DE INSTALACIÓN AUTOVACIADO
Si el caudal es ascendente el tubo debe tener un apuntamiento hacia arriba. De esta manera se mantiene constantemente lleno y se evita así la formación de burbujas de aire
MODO DE INSTALACIÓN LÍQUIDOS
Orientacion horizontal con los tubos interiores del sensor hacia abajo
MODO DE INSTALACIÓN GASES
Montaje horizontal con los tubos hacia arriba
DIRECCIÓN DEL FLUJO
una flecha ubicada en el transmisor indica la dirección del flujo y el sentido de calibración del mismo
SOPORTE PARA TUBOS
facilite la instalación usando un soporte para tubos
TORNILLERIA
Primero añada los tornillos inferiores para que le sea más fácil introducir el empaque de la tubería. Apriete muy bien las tuercas pasantes.
El transmisor montado le debe quedar así:
DATOS TÉCNICOS
Los datos técnicos son su guia: no los pierda nunca de vista.
INSTALACIÓN DEL MÓDULO
Las ventajas de estos dispositivos es que pueden ser ubicados en exteriores o en el tubo lo cual representa una muy buena ventaja de instalación
MONTAJE EN PARED
use la base mostrada en la foto como guía y marque los agujeros con un marcador.
fije el soporte y la junta
MONTAJE EN TUBERÍA
fije el soporte con los pernos y tornillos en forma de U
fije el transmisor en el tornillo de la base
CABLEADO
retire la tapa y visualice la asignación de borneras para el transmisor.
CABLES DE ALIMENTACION
Se debe cerrar la tapa de la conexión eléctrica
Para establecer el protocolo HART en el transmisor se debe deslizar el cable por la salida de corriente HART
coloque la tapa
atornille los pasacables
debe comprobar todas las conexiones del transmisor
finalmente inicie la puesta en marcha del transmisor
APLICACIONES DE UN TRANSMISOR DE CORIOLIS
INDUSTRIA ALIMENTICIA: Medición de aceites vegetales, fluidos espesos como salsas, mayonesas
INDUSTRIA FARMACEUTICA: Quimicos viscosos, pastas dentales
INDUSTRIA OIL AND GAS: gases licuifizados (propano, butano, petroleo, gas natural)
Otro tipo de mezclas de alta viscocidad y densidad
CONTENIDOS MÁS RELEVANTES.











