En la reciente práctica de laboratorio se realizaron: diseño de amplificadores NPN y PNP, se realizó un diseño de un circuito conmutador con transistores y además de ello se analizaron una serie de circuitos propuestos por el docente con el fin de que se adquiriera habilidad y destreza en el manejo del protoboard y ensamble de componentes en el protoboard, los diseños de los circuitos amplificadores y conmutadores se efectuaron con el fin de comprobar experimentalmente y a través de cálculos matemáticos el comportamiento de este tipo de amplificadores y sus aplicaciones no solo para instrumentación sino también para audio ya que estos circuitos se adaptan perfectamente al diseño de preamplificadores y los circuitos de conmutación BJT se adaptan perfectamente para ayudarnos a controlar cargas de alta tensión tales como bombillas, motores, calefactores, etc en conjunto con relevos.
OBJETIVOS.
· Polarizar correctamente un transistor NPN para operar en la región activa, empleando un circuito amplificador autopolarizado.
· Polarizar correctamente un transistor PNP para operar en la región activa, empleando un circuito amplificador autopolarizado.
Comprender el funcionamiento del transistor bipolar en conmutación.
· Comprobar que en este modo de funcionamiento se comporta como un interruptor.
· analizar el funcionamiento de cada uno de los circuitos propuestos por el docente.
MATERIALES Y PROCEDIMIENTO
Transistor 2N3904
Transistor 2N3906
SCR 106 D
resistencias (dependen de los cálculos)
3 capacitores de 100 uF a 16V
Fuente de voltaje
protoboard.
PROCEDIMIENTO PRÁCTICA 10
para el circuito mostrado en la figura, se deben efectuar los cálculos conectar el osciloscopio y obtener la onda de salida amplificada. Los datos se deben tomar de los parámetros de diseño extraidos de las curvas características dibujadas en la práctica anterior.

de acuerdo a los parámetros anteriores de corrientes y voltajes se debe: tomar los datos de corrientes y tensiones experimentales y calcular las ganancias de voltaje y corriente.
PROCEDIMIENTO PRÁCTICA 11
para el circuito mostrado en la figura, se deben efectuar los cálculos conectar el osciloscopio y obtener la onda de salida amplificada. Los datos se deben tomar de los parámetros de diseño extraidos de las curvas características dibujadas en la práctica anterior.

De acuerdo a los parámetros anteriores de corrientes y voltajes se debe: tomar los datos de corrientes y tensiones experimentales y calcular las ganancias de voltaje y corriente.
PROCEDIMIENTO PRÁCTICA 12


· Hacer cálculos de Rc Y Rb y montar circuito de la figura.
· Conectar a la entrada Vi la señal de salida TTL del generador de funciones, eligiendo una frecuencia de pocos Hertzios.
· Llenar tabla de resultados observados
· Hacer arreglos necesarios para cambiar el LED por un Relé y activar una carga que funciona a 110VAC.


RESULTADOS OBTENIDOS
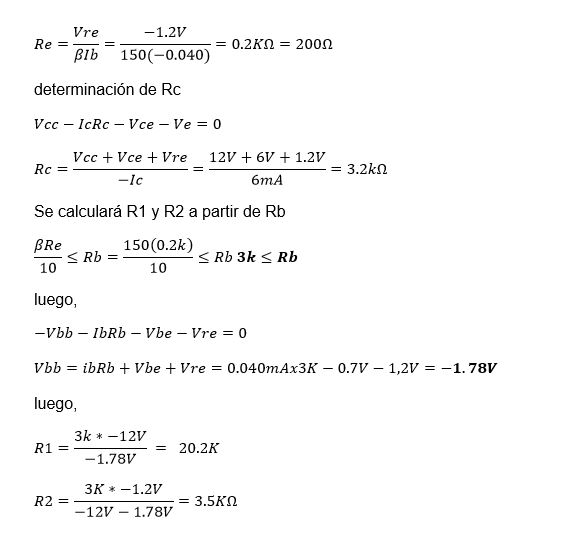
basado en las condiciones estipuladas por nuestro punto Q de operación, se procedió a diseñar el amplificador autopolarizado NPN con las siguientes condiciones.


luego de tener el circuito presente debemos sacar el circuito sin fuentes de AC ni condensadores e invertirlo para determinar el circuito equivalente.


para este tipo de circuitos, podemos aplicar el teorema de thevenin y el teorema de norton, con el fin de transformar las fuentes de voltaje en fuentes de corriente y de esta manera calcular el voltaje y la resistencia de base. Debemos tener en cuenta que estos dispositivos tienen caracteristicas voltiamperimétricas presentes en las hojas de datos de los componentes y que de ahí podemos tomar los respectivos valores. También lo podemos hacer usando el trazador de curvas



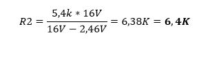
bajo los resultados anteriores, el circuito diseñado queda así;


después de haber efectuado nuestras mediciones hacemos una comparación de las tensiones y corrientes teóricas vs tensiones y corrientes experimentales.
después de haber efectuado nuestras mediciones hacemos una comparación de las tensiones y corrientes teóricas vs tensiones y corrientes experimentales.
se efectuan los cálculos para el circuito de conmutación teniendo en cuenta los siguientes parámetros.
de acuerdo a lo anterior, podemos decir que este circuito es una compuerta lógica OR cuya función se simboliza así
F=A+B
con los análisis efectuados anteriormente se implementó un circuito de conmutación con un relé, para este caso se usó un circuito con 2 fotoceldas.

ANÁLISIS PARA LOS CIRCUITOS PROPUESTOS

Circuito N°1: consta de una resistencia de 330 ohm con el fin de evitar que el led propuesto para este diseño se queme, ya que si colocamos directamente nuestra fuente con el led, este se quemará
Circuito N°2: El circuito es básicamente un probador de diodos, recordemos que este elemento conduce corriente en un solo sentido, si el diodo se invierte, el led se apagará ya que quedará polarizado inversamente.
Circuito N°3: Este circuito dispara un tiristor para que este conduzca y encienda el led, si se presiona el pulsador, se le envia una corriente a través del gate y el led quedará encendido hasta que se desconecte la batería.

Circuito 4: es una alarma que maneja dos tipos de contactos: Normalmente abierto y normalmente cerrado, si se desactiva el normalmente cerrado, la alarma se activa (led) y se activa el normalmente abierto la alarma se activa ya que recibe una corriente a través del gate del SCR y lo dispara
Circuito 5: se está enviando un voltaje por la base del transistor en forma pulsante, la corriente que cae sobre el led está en el orden de los microamperes por lo cual el led tendrá un brillo muy bajo, el otro led como tiene corriente de colector enciende con un brillo muy alto
Circuito 6: El transistor le ingresa una corriente de base la cual a través de una corriente de colector que es igual a la de emisor es enviada a la puerta del SCR para de esta forma activar el led, si no se activa no se enciende el led, por el contrario quedará encendido y permanecerá asi siempre y cuando se desconecte la fuente de voltaje.

CIRCUITO 7: depende de la activación de 2 sensores para su posterior funcionamiento, los 2 deben estar activos para que se active en transistor y envíe una corriente de emisor para disparar el SCR y activar la fotocelda.
CIRCUITO 8: si hay ausencia de oscuridad, el led no encenderá por el contrario si hay oscuridad el led encenderá.

CIRCUITO 9: mediante el uso de un potenciómetro de 100k podemos ajustar la sensibilidad de la fotocelda para activar los 2 leds conectados en serie al colector del transistor. Este nos ayudará a que la respuesta de detección sea más rápida y solo con presenciar una breve oscuridad los leds se encienden.
CIRCUITO 10: Funciona del modo contrario que cuando hay presencia de luz. Inicialmente los leds están apagados y en oscuridad, cuando se quita la oscuridad estos se encienden de modo permanente y solo se apagarán siempre y cuando se desconecte la batería del circuito
CIRCUITO 11: Funciona inversamente a como funciona el circuito 10

CIRCUITO 12: Este circuito funciona de la siguiente manera: con el potenciómetro se ajusta la sensibilidad de detección de la fotocelda ante la presencia de oscuridad. Esta debe ser ajustada a medida que el led se active a través de la corriente de emisor enviada por el transistor. Una vez ajustado el potenciómetro se hace la prueba de detección en el cual el led debe quedar encendido. El SCR activa el LED.

CIRCUITO 13: se activa solo cuando hay ausencia de luz, de igual forma el led se debe apagar ya que inicialmente permanecerá encendido.

CIRCUITO 14: representa un circuito típico de condensador RC. Este circuito se carga cuando se activa el botón y entra en fase de descarga cuando el mismo botón se suelta. Lo hace a través de la resistencia de 1K y un led.
CIRCUITO 15: El se activa de forma temporizada cuando se ajusta la sensibilidad del potenciómetro. A medida que el capacitor sea más grande el led durará mayor tiempo en activarse. Con todo este análisis decimos que el gate depende de una corriente para la activación de circuitos electrónicos.
CONCLUSIONES
los amplificadores de voltaje sirven para aumentar los niveles de tensión proveniente de una señal AC de baja amplitud para elevar la tensión dependiendo de la ganancia del transistor. Básicamente depende del tipo de configuración del dispositivo sea transistor de tipo NPN o del tipo PNP. Una buena aplicación de este tipo de diseño de amplificadores autopolarizados puede ser como preamplificadores para señal de audio, también puede ser utilizado como etapa de sensado para la voz a través de un micrófono electec el cual amplifica la señal de la voz.
Los circuitos conmutadores de transistores permiten conmutarnos cargas de DC con cargas de baja tensión tales como son bombillas, motores o calefactores; aprovechando de que el transistor funciona como dispositivo de corte y saturación podemos conectar un diodo rectificador en polarización inversa para eliminar el sobreamortiguamiento del relé ya que es una bobina y conmutar cargas de alto voltaje.
El SCR es un rectificador controlado por silicio y es un diodo que tiene una puerta llamada Gate que actua como suiche electrónico de seguridad. Una ventaja de este dispositivo funcionando en corriente alterna, es que puede ser usado por ejemplo para un control de cargas a través de un típico circuito de disparo mediante el cual puede controlar cargas como por ejemplo el encendido de una bombilla y variar su intensidad lumínica o por ejemplo el control de temperatura de un cautín.
BIBLIOGRAFÍA
· Malvino Paul Albert. Principios de electrónica (tema Polarización por divisor de tensión,) SEXTA EDICION MC GRAW HILL
· http://rabfis15.uco.es/transistoresweb/Tutorial_General/curvascaracteristicas.htmlcurvas características de un transistor.











