CAPACITORES: LA GUÍA COMPLETA

El mundo de los capacitores es tan maravilloso como estudiar electrónica y penetrar en el mundo del saber de estos dispositivos que nos sirven para múltiples aplicaciones: Desde su uso en fuentes de voltaje, pasando por el diseño de filtros hasta llegar finalmente a los sistemas de corrección de factor de potencia. Ningún componente electrónico es menos que otro ya que todos son muy importantes para las aplicaciones que usted como diseñador requiere.
 

CAPACITORES: LA GUÍA COMPLETA

Un capacitor es un dispositivo eléctrico u electrónico que almacena voltaje de manera temporal este puede quedar guardado por décadas o como decía un profesor de la facultad: HASTA LA MUERTE.

 

El voltaje queda almacenado en un campo eléctrico y se crea al haber desplazamiento de cargas tanto positivas y negativas. Bajo esta premisa tiende a atraerse entre sí.

los condensadores tienen una construcción muy sencilla y simple. Están compuestos de unas placas circulares, planas que están bien sea separadas por un liquido y un material llamado dieléctrico.

 

Este material posee permitividades bien sea en vacío o bajo la interacción de varios tipos de material.

CAPACITORES: LA GUÍA COMPLETA

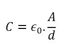
La permitividad es una constante física que se describe como un campo eléctrico que afecta y es afectado por el medio y en el vacío tiene un valor de: es 8,8541878176×10-12 C2 / Nm2.

la ecuación que permite modelar la capacidad o capacitancia está denotada por:
capacitancia
para un mejor entendimiento y una mejor comprensión de la ecuación de capacitancia vemos que esta se encuentra representada de la siguiente manera;
unidades de capacitancia

CAPACITORES: LA GUÍA COMPLETA

APLICACIONES.

Podemos hallar los capacitores para almacenar energía en lámparas de destello,  de igual manera los podemos encontrar en sistemas de comunicaciones electrónicas como la sintonización de radios y para efectuar otro tipo de tares ejemplo filtrado.
CAPACIDAD Y CORRIENTE DE DESPLAZAMIENTO.
Si conectamos una fuente de voltaje directamente a un condensador, lo que hace la fuente de voltaje es tomar electrones libres de la placa al potencial más alto y deposita un número igual de electrones adicionales en la placa que contiene bajo potencial. Q es considerada una carga almacenada, aún cuando la carga neta en el condensador sea igual a cero. En pocas palabras Q será considerada como la «carga desplazada» debido a que en realidad la fuente desplaza la carga de la placa con potencial más bajo a la placa con potencial mucho más alto.
circuito condensador
la unidad de medida de la capacitancia es el faradio (F) en honor al experimentador Michael Faraday.
Un faradio es igual a 1 coulomb por cada unidad de volt, también es igual a 1 Ampere-Segundo y la ecuación unitaria para la capacitancia es la siguiente:
ecuacion de capacitor
sin embargo usted debe tener en cuenta que un capacitor es un dispositivo excesivamente grande teniendo en cuenta los criterios mencionados anteriormente.
Cuando se aplica tensión, esta varía respecto al tiempo de modo que la carga debe variar del mismo modo con el tiempo. La variación de carga en cada placa requiere una corriente (i) =dq/dt que entra del terminal de potencial más alto y una corriente igual que sale del terminal de potencial más bajo.
La relación entre la corriente y la tensión resultante se deduce al derivar Q=C.V donde C es considerada una constante, de modo que dq/dt =d(cV)/dt=cdv/dt y por lo tanto:
corriente de un capacitor
esta corriente es conocida como corriente de desplazamiento porque representa el cambio en el desplazamiento de la carga en las placas de un condensador en un tiempo dado 1 segundo.
¿COMO ES CONSIDERADO UN CAPACITOR EN CORRIENTE DIRECTA?
La corriente instantánea en el condensador es directamente proporcional a la velocidad de cambio del voltaje.
Pero si el voltaje es constante entonces dV/dt = 0 y la corriente sería igual a cero. La tensión constante corresponde a una fuente de voltaje DC por lo que se dice que un condensador actúa como un circuito abierto. La abertura en el símbolo del condensador refleja esta propiedad de circuito abierto.
tipos de capacitores
los condensadores pueden ser fijos y variables, polarizados y no polarizados.
quieres seguir aprendiendo electrónica? visita el siguiente enlace: https://sensoricx.com/category/electronica-basica/ 

Deja un comentario