En física, se considera onda, a la propagación de una perturbación de alguna propiedad de un medio. Esta propiedad del medio, o magnitud, suele variar en función del tiempo. Existen muchos tipos de ondas (olas, ondas de radio, sísmicas, etc.) y se pueden clasificar de diferentes maneras (según el medio de propagación, según la dirección de la perturbación, según su periodicidad, etc.).
Una onda periódica es aquella en la que la perturbación que las origina se produce en ciclos repetitivos, tal es el caso de las ondas senoidales.
Las ondas periódicas no senoidales se pueden descomponer en suma de una serie de ondas senoidales de diferentes frecuencias que reciben el nombre de armónicos. Esto es una aplicación directa de las series de Fourier.
Un ciclo de esta señal está conformado; por un semiciclo positivo comprendido de 0° a 180° (0 a π radianes) y un negativo comprendido de 180° a 360° (π a 2 π Radianes).

Periodo T (Seg)
Puesto que la magnitud oscila en función del tiempo f(t) , y puesto que al cabo de un intervalo de tiempo T los valores de la magnitud se repetirán, tendremos:

Siendo T el tiempo que transcurre entre repetición y repetición y que recibe el nombre de periodo y se mide en segundos(Seg).
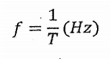
Frecuencia f (Hz).
Es el número de veces que se repite un ciclo en un segundo, se mide en (Hz) y es el inverso del periodo.

Velocidad angular ω (Rad/Seg)
Esta propiedad hace mención a la velocidad de rotación en un giro cerrado de la función, esta rotación es el recorrido de los ángulos por unidad de tiempo, la velocidad angular esté definida en radianes por segundo.

Amplitud A (V).
En una sinusoide; es el máximo alejamiento en el valor absoluto de la curva medida desde el eje . Desde un punto de vista más técnico, la amplitud de la sinusoide es la norma del supremo de la sinusoide:

Valor pico o Voltaje pico Vp (V).
Pico o cresta: Valor máximo, de signo positivo (+), que toma la onda sinusoidal del espectro electromagnético, cada medio ciclo, a partir del punto “0”. Ese valor aumenta o disminuye a medida que la amplitud “A” de la propia onda crece o decrece positivamente por encima del valor «0». Para una señal seno; corresponde a mismo valor de la amplitud.

Valor pico a pico o Voltaje pico a pico Vpp (v)
Es el valor comprendido desde la máxima elongación negativa hasta la máxima elongación positiva y se mide en voltios.

Valor instantáneo Vi (v)
Es el valor que presenta una señal seno, en un tiempo determinado.

Valor medio, Valor promedio o Valor DC VDC (V)
EI valor del área que forma con el eje de abscisas dividido por su periodo, El valor medio se puede interpretar como la componente de continua de la onda sinusoidal. El área se considera positiva si está por encima del eje de abscisas y negativa si está por debajo. Como en una señal sinusoidal el semiciclo positivo es idéntico al negativo, su valor medio es nulo.

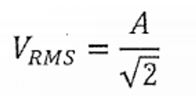
Valor eficaz VRMS (V)
Su importancia se debe a que este valor es el que produce el mismo efecto calorífico que su equivalente en corriente continua. Matemáticamente, el valor eficaz de una magnitud variable con el tiempo, se define como la raíz cuadrada de la media de los cuadrados de los valores instantáneos alcanzados durante un periodo.
En la literatura inglesa este valor se conoce como R.M.S. (Root Mean Square, valor cuadrático medio), y de hecho en matemáticas a veces es llamado valor cuadrático medio de una función. En el campo industrial, el valor eficaz es de gran importancia ya que casi todas las operaciones con magnitudes energéticas se hacen con dicho valor. De ahí que por rapidez y claridad se represente con la letra mayúscula de la magnitud que se trate (I, V, P, etc.). Matemáticamente se demuestra que para una corriente alterna senoidal el valor eficaz viene dado por la expresión:

El valor VRMS, tensión o intensidad, es útil para calcular la potencia consumida por una carga. Así, si una tensión de corriente continua (CC), Vcc, desarrolla una cierta potencia P en una carga resistiva dada, una tensión de CA de VRMS desarrollará la misma potencia P en la misma carga si VRMS = Vcc.
VIDEO COMPLEMENTARIO.
CONTENIDOS MÁS RELEVANTES.











