![]() |
| https://zentaoaki.deviantart.com/art/Circuito-en-protoboard-392489632 |
El día de hoy hablaremos de un concepto muy importante dentro del análisis de circuitos llamado el divisor de tensión. Este principio analítico es muy importante al momentos de hacer análisis y en la práctica actúa como una solución de carácter transitorio cuando no se tiene un elemento regulador a la mano. Si deseamos obtener varios voltajes a la salida para alimentar o conectar diversos circuitos electrónicos, esta es la solución incluso cuando se está diseñando sistemas de conversión analógica-digital y necesita hacer una escalización bien sea con un potenciómetro u otro elemento programable como por ejemplo: un microcontrolador o un sistema de desarrollo Arduino.
Un divisor de voltaje implica combinar dos resistencias a la vez bien sea de igual o diferente valor. (Incluso: puede combinar las que usted quiera). Para este caso consideraremos el circuito planteado por la figura N°1extraído del libro de Alexandre Sadiku (circuitos eléctricos)
| figura 1 circuito divisor de tensión tomado del libro Sadiku: circuitos eléctricos |
Las consideraciones analíticas para la solución de estos circuitos es básicamente que la corriente eléctrica alrededor de un circuito serie es la misma para todos y cada uno de los elementos. (La corriente eléctrica permanece constante).
| ecuacion 1 |
Para nuestro caso consideraremos que la corriente total del circuito se llamará It
Ahora bien; recordemos un poco de la ley de ohm; la ley de ohm básicamente nos dice que el valor de la tensión o el voltaje (es lo mismo) es directamente proporcional a la corriente It multiplicado por la resistencia R de cualquier valor y recordemos que entre más pequeña sea la resistencia habrá una mayor circulación de corriente y entre más grande habrá una mayor oposición al paso de la corriente.
| ecuación 2 |
Para nuestro circuito tenemos tres elementos conectados en serie que son: la fuente de voltaje y las dos resistencias R1 y R2. La fuente está denotada por V1 y las resistencias por R1 y R2 si consideramos una lectura de malla o de dicho lazo cerrado conformado por los elementos en dicho circuito, una forma de expresar dicha ecuación sería la siguiente:
| ecuacion 3 |
Empezaríamos con –V porque empezamos desde el polo negativo de la batería y Vr1 , Vr2 porque llega a los primeros polos positivos de cada uno de los elementos del circuito. Además estamos considerando
Vr1= voltaje en la resistencia n°1
Vr2=voltaje en la resistencia n°2
Despejando la ecuación mencionada anteriormente nos quedaría de la siguiente forma:
| ecuacion 4 |
Donde el voltaje de la fuente es igual a la suma del voltaje de la resistencia 1 con el voltaje que se está midiendo en la resistencia 2
Habíamos mencionado que la corriente era igual para todo el circuito y que por ley de ohm el voltaje era la corriente multiplicada por la resistencia del circuito por lo cual la ecuación anterior nos quedaría de la siguiente forma:
| ecuacion 5 |
Podríamos bien despejar la corriente y obtener la corriente total del circuito aplicando factor común: corriente total
| ecuacion 6 |
Y despejando la corriente nos queda:
| ecuacion 7 |
Podemos decir que nos queda una resistencia equivalente y sería la suma de R1 y R2
R equivalente =R1+R2
ecuacion 8
Para determinar el voltaje a lo largo de cada resistencia se sustituye la ecuación 6 en la ecuación 5 y nos queda de la siguiente forma:
| ecuacion 9= ECUACIONES GENERALES DE LOS DIVISORES DE VOLTAJE |
Para la ecuación anterior podemos decir que el voltaje en la resistencia uno será igual al voltaje de la fuente (V) multiplicado por la resistencia donde se desea encontrar el voltaje dividido la suma de las resistencias. Si fueran tres o más resistencias, en el denominador se sumaría por la cantidad de resistencias que están conectadas alrededor de dicho circuito. Estas ecuaciones rigen para la cantidad de resistencias que se encuentran conectadas OJO: siempre y cuando sea para encontrar el voltaje de cada una de las resistencias. Y es general “ESO ES DIVISOR DE VOLTAJE”
Ilustremos con ejemplos:
EJERCICIO 1
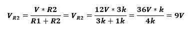
Calcular el voltaje en la resistencia 2 del circuito presentado en la figura 1 Vr2=3k
| figura 2 https://es.khanacademy.org/science/electrical-engineering/ee-circuit-analysis-topic/ee-resistor-circuits/a/ee-voltage-divider |
El voltaje en la resistencia 2 es de 9 volts “como ves es muy sencillo resolver este tipo de ejercicios” ¡vamos con otro!
EJERCICIO 2
Calcular el voltaje en todas las resistencias del circuito presentado en la figura 2
| figura 3 https://www.youtube.com/watch?v=8_008wqRICw |
SOLUCION
Como te puedes dar cuenta es muy fácil calcular los voltajes de cada una de las resistencias que se encuentran alrededor de un circuito. Ahora vayamos a la práctica.
MATERIALES:
1 resistencia de 10k
1 resistencia de 5.1k
1 resistencia de 2.2k
1 fuente de voltaje
1 multimetro digital
1 protoboard.
PROCEDIMIENTO: Ensamble el circuito de la figura 4 en el protoboard.
![]() |
| figura 4 |
PROCEDIMIENTO: Ensamble el circuito de la figura 4 en el protoboard.
Para el circuito anterior ajuste el voltaje de la fuente a 12 volts, luego de que haya conectado la fuente y las resistencias en serie en el protoboard, mida los voltajes en cada una de las resistencias anote los resultados obtenidos y calcule los voltajes teóricamente. Luego de ello compare los resultados teóricos con los resultados prácticos y saque sus conclusiones al respecto.
CONTENIDOS MÁS RELEVANTES.













