¿Qué es inteligencia artificial?

La inteligencia artificial (IA) es una disciplina dentro de la informática que se enfoca en la creación de sistemas capaces de realizar tareas que normalmente requieren inteligencia humana. Estas tareas incluyen, entre otras, el reconocimiento de patrones, la toma de decisiones, la resolución de problemas, la comprensión del lenguaje natural y el aprendizaje. En esencia, la IA busca emular la capacidad humana para razonar, aprender, adaptarse y ejecutar funciones complejas.
Componentes y Técnicas Principales de la IA
- Aprendizaje Automático (Machine Learning):
- Una subárea de la IA que permite a los sistemas aprender y mejorar a partir de la experiencia sin ser explícitamente programados para cada tarea específica.
- Tipos de Aprendizaje Automático:
- Aprendizaje Supervisado: El sistema es entrenado con un conjunto de datos etiquetados.
- Aprendizaje No Supervisado: El sistema busca patrones en datos sin etiquetas.
- Aprendizaje por Refuerzo: El sistema aprende a tomar decisiones mediante prueba y error, optimizando sus acciones a través de recompensas y castigos.
- Procesamiento de Lenguaje Natural (NLP):
- Tecnología que permite a las máquinas entender, interpretar y generar lenguaje humano.
- Ejemplos incluyen traductores automáticos, asistentes virtuales y análisis de sentimientos.
- Visión por Computadora (Computer Vision):
- Permite a las máquinas interpretar y procesar información visual del mundo real.
- Usada en reconocimiento facial, análisis de imágenes médicas, y vehículos autónomos.
- Robótica:
- Integración de IA en robots para realizar tareas físicas en el mundo real.
- Aplicaciones en manufactura, exploración espacial, y robótica doméstica.
- Sistemas Expertos:
- Sistemas que emulan el juicio y comportamiento de un experto humano en un dominio específico.
- Utilizados en diagnósticos médicos, soporte técnico y decisiones financieras.
Tipos de Inteligencia Artificial
- IA Débil (Narrow AI):
- Diseñada para realizar una tarea específica.
- Ejemplos: asistentes virtuales como Siri o Alexa, sistemas de recomendación en plataformas de streaming, y programas de reconocimiento facial.
- IA Fuerte (General AI):
- Capaz de realizar cualquier tarea cognitiva humana.
- Aún en desarrollo y principalmente teórica en la actualidad.
- Superinteligencia Artificial:
- IA que supera las capacidades humanas en todos los aspectos.
- Un concepto teórico con diversas implicaciones filosóficas y éticas.
¿Qué impacto ha tenido la IA?

La inteligencia artificial (IA) ha tenido un impacto significativo en diversas áreas de la sociedad, la economía y la tecnología. A continuación, se destacan algunos de los impactos más relevantes:
1. Economía y Empleo
- Automatización y Productividad: La IA ha mejorado la eficiencia y productividad en muchas industrias. Por ejemplo, la automatización de tareas repetitivas en la manufactura y la optimización de procesos en la logística han reducido costos y aumentado la producción.
- Transformación del Empleo: Mientras que la IA ha creado nuevos empleos en campos como la programación, el análisis de datos y la gestión de IA, también ha desplazado algunos roles tradicionales. Esto ha generado la necesidad de reentrenar a la fuerza laboral.
2. Salud
- Diagnóstico y Tratamiento: La IA se utiliza para mejorar el diagnóstico de enfermedades mediante el análisis de imágenes médicas y la identificación de patrones que podrían ser pasados por alto por los médicos humanos. También se usa en la personalización de tratamientos basados en datos genéticos y clínicos.
- Gestión de Datos Médicos: La IA ayuda en la gestión y análisis de grandes volúmenes de datos médicos, mejorando la investigación y la eficiencia administrativa en hospitales.
3. Transporte
- Vehículos Autónomos: La IA está en el corazón del desarrollo de coches autónomos, que prometen reducir los accidentes de tráfico y aumentar la eficiencia del transporte.
- Optimización de Rutas: Empresas de logística y transporte utilizan la IA para optimizar rutas de entrega, lo que reduce costos y tiempos de entrega.
4. Educación
- Personalización del Aprendizaje: La IA permite personalizar la educación para satisfacer las necesidades individuales de los estudiantes, adaptando el ritmo y el contenido del aprendizaje.
- Tutores Virtuales: Se han desarrollado tutores basados en IA que pueden ayudar a los estudiantes a resolver problemas y entender conceptos fuera del horario escolar.
5. Servicios Financieros
- Análisis y Gestión de Riesgos: La IA se utiliza para evaluar riesgos y tomar decisiones más informadas en la concesión de préstamos y la gestión de inversiones.
- Detección de Fraude: Los algoritmos de IA analizan transacciones en tiempo real para detectar y prevenir actividades fraudulentas.
6. Entretenimiento
- Recomendaciones Personalizadas: Plataformas como Netflix y Spotify utilizan IA para recomendar contenido basado en las preferencias y comportamientos de los usuarios.
- Creación de Contenidos: La IA se está utilizando en la creación de música, arte y literatura, ampliando las posibilidades creativas.
7. Investigación Científica
- Análisis de Datos: La IA facilita el análisis de grandes volúmenes de datos en investigaciones científicas, permitiendo descubrimientos más rápidos y precisos.
- Modelado y Simulación: En campos como la climatología y la biología, la IA ayuda a crear modelos y simulaciones que pueden predecir fenómenos complejos.
8. Vida Cotidiana
- Asistentes Virtuales: Herramientas como Siri, Alexa y Google Assistant utilizan IA para ayudar a los usuarios con tareas cotidianas, desde la gestión del calendario hasta el control de dispositivos del hogar.
- Compras en Línea: Los sistemas de recomendación de IA mejoran la experiencia de compra en línea, sugiriendo productos que se ajustan a las preferencias del usuario.
9. Ética y Privacidad
-
-
- Preocupaciones sobre la Privacidad: El uso de IA en la vigilancia y la recopilación de datos plantea preocupaciones sobre la privacidad y la seguridad de la información personal.
- Bias y Equidad: Los algoritmos de IA pueden perpetuar sesgos si no se diseñan y supervisan adecuadamente, lo que puede llevar a decisiones injustas en áreas como la contratación y la justicia penal.
-
Desafíos y Consideraciones Éticas
- Sesgo y Equidad:
- Las IA pueden heredar y amplificar los sesgos presentes en los datos con los que son entrenadas.
- Es crucial desarrollar técnicas para identificar y mitigar estos sesgos.
- Privacidad:
- La recopilación y el uso de datos personales por sistemas de IA plantean riesgos para la privacidad.
- Importancia de implementar medidas robustas de protección de datos.
- Impacto en el Empleo:
- La automatización puede desplazar ciertos tipos de trabajos.
- Necesidad de estrategias para la reeducación y adaptación de la fuerza laboral.
-
Toma de Decisiones Autónomas:
- Los sistemas de IA pueden tomar decisiones que afectan a los humanos de manera significativa.
- Es esencial garantizar la transparencia y la responsabilidad en estos sistemas.
Por otro lado, hablaremos a cerca de un modelo artificial que ha tenido un impacto significativo en el campo de la inteligencia artificial (IA) y el aprendizaje automático desde su creación. Aunque es un modelo básico y con limitaciones, su desarrollo ha influido profundamente en el avance de tecnologías más complejas y en la comprensión del aprendizaje de máquinas. Esta herramienta es llamado como perceptrón simple.
Perceptrón simple
Inicialmente un perceptrón simple es el modelo más básico de una red neuronal artificial, desarrollado por Frank Rosenblatt en 1957. Es un clasificador lineal que se utiliza para tareas de clasificación binaria, donde el objetivo es asignar entradas a una de dos posibles clases. El perceptrón simple es una unidad fundamental en la inteligencia artificial y sirve como base para modelos más complejos en aprendizaje automático y redes neuronales.
Estructura del Perceptrón Simple
1. Entradas (Input):
- El perceptrón recibe múltiples entradas, denotadas como 1,2,…,, donde es el número de características o atributos de los datos de entrada.
2. Pesos (Weights):
- Cada entrada tiene un peso asociado . Estos pesos son los parámetros que el perceptrón ajusta durante el proceso de aprendizaje.
3. Sesgo (Bias):
- Además de las entradas ponderadas, se incluye un término de sesgo , que ayuda al modelo a ajustarse mejor a los datos, permitiendo un desplazamiento de la función de activación.
4. Función de Activación:
- Las entradas ponderadas y el sesgo se combinan y pasan a través de una función de activación para producir la salida del perceptrón. En el perceptrón simple, la función de activación comúnmente utilizada es la función escalón (o función signo), definida como:


Funcionamiento del Perceptrón Simple
1.Cálculo del Potencial de Activación:
-
- Se calcula la suma ponderada de las entradas más el sesgo:

2. Aplicación de la Función de Activación:
-
- El valor se pasa a través de la función de activación para determinar la salida del perceptrón, que puede ser 0 o 1 en el caso de la función escalón.
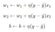
3. Actualización de Pesos (Entrenamiento):
- Los pesos se ajustan utilizando una regla de aprendizaje basada en el error cometido por el perceptrón en la clasificación de los datos de entrenamiento. Un algoritmo comúnmente utilizado es el algoritmo de aprendizaje del perceptrón, que actualiza los pesos de la siguiente manera:
Aquí, es la tasa de aprendizaje, es la etiqueta real, y ^ es la salida predicha por el perceptrón.
Limitaciones del Perceptrón Simple
- Linealidad: El perceptrón simple solo puede resolver problemas que son linealmente separables. Esto significa que solo puede clasificar correctamente conjuntos de datos que pueden ser separados por una línea recta (en dos dimensiones), un plano (en tres dimensiones) o un hiperplano (en dimensiones superiores).
Ejemplo de Funcionamiento
Supongamos que queremos clasificar un conjunto de datos con dos características 1 y 2:
1. Inicializar Pesos y Sesgo: Se comienzan con valores aleatorios o cero.
2. Calcular el Potencial de Activación:
![]()
3. Aplicar la Función de Activación:

4. Actualizar Pesos (si la predicción es incorrecta):

Repitiendo este proceso para todos los ejemplos de entrenamiento, el perceptrón ajustará sus pesos para minimizar el error de clasificación.
Aquí tienes un ejemplo de cómo implementar y entrenar un perceptrón simple en Python utilizando la biblioteca numpy. Este ejemplo clasifica puntos en un plano 2D que son linealmente separables.
Paso 1: Importar Bibliotecas Necesarias

Paso 2: Definir el Perceptrón Simple

Paso 3: Crear un Conjunto de Datos
Vamos a crear un conjunto de datos simple para clasificar, por ejemplo, puntos en un plano 2D:

Paso 4: Entrenar el Perceptrón

Paso 5: Hacer Predicciones

Paso 6: Visualizar los Resultados
Para visualizar cómo el perceptrón ha separado los puntos:

Este código crea una visualización del límite de decisión aprendido por el perceptrón. Los puntos serán coloreados según sus etiquetas y el fondo mostrará la región donde el perceptrón clasifica los puntos como 0 o 1.
Este ejemplo ilustra los conceptos básicos de un perceptrón simple: inicialización de pesos y sesgo, cálculo del producto punto, aplicación de la función de activación y actualización de los pesos en función del error.
El perceptrón simple se utiliza principalmente para resolver problemas de clasificación binaria, donde la tarea es asignar ejemplos de entrada a una de dos posibles clases. Aquí hay algunas aplicaciones y usos específicos del perceptrón simple:
Aplicaciones del Perceptrón Simple
- Clasificación de Imágenes Básica:
- Clasificar imágenes en dos categorías. Por ejemplo, distinguir entre imágenes de gatos y perros, siempre que las características extraídas sean linealmente separables.
- Clasificación de Texto:
- Clasificación de correos electrónicos en spam y no spam, utilizando características como la frecuencia de palabras específicas.
- Detección de Fraude:
- Clasificación de transacciones financieras como fraudulentas o no fraudulentas, basándose en características como el monto de la transacción, la ubicación, etc.
-
Reconocimiento de Patrones:
- Detección de patrones específicos en datos de sensores, por ejemplo, detección de fallos en máquinas basándose en lecturas de sensores.
Ejemplo de Uso del Perceptrón Simple
1. Clasificación de Iris Dataset (Dos Clases)
El conjunto de datos Iris es un clásico en la clasificación. Aunque tiene tres clases, podemos simplificar el problema para ilustrar el uso del perceptrón simple clasificando solo dos de ellas.

2. Clasificación de Círculos y Triángulos en una Imagen
Supongamos que tienes una imagen con círculos y triángulos, y has extraído características como el área y la circularidad de cada forma. Puedes usar un perceptrón simple para clasificarlas.

Limitaciones y Consideraciones
- Linealidad: El perceptrón simple solo puede resolver problemas que son linealmente separables. Si los datos no pueden separarse con una línea recta, el perceptrón simple no funcionará bien.
- Convergencia: El perceptrón simple puede no converger si los datos no son linealmente separables. En tales casos, puede entrar en un bucle infinito de actualización de pesos.
- Capacidad de Expresión: El perceptrón simple tiene una capacidad de expresión limitada y no puede capturar relaciones complejas entre las características de los datos.
A pesar de estas limitaciones, el perceptrón simple es una herramienta fundamental en el aprendizaje automático y proporciona la base para modelos más complejos como las redes neuronales multicapa (perceptrón multicapa) y otros algoritmos de aprendizaje profundo.