documento redactado y tomado de las notas de clase. Créditos: John Alexander Ramirez Urrego. clase de control automático politecnico Colombiano Jaime Isaza Cadavid. Medellín 2017
En general la obtención de un modelo matemático de un sistema físico consiste en:
1) hacer una descripción del sistema ( componentes, señales, subsistemas)
2) formular el modelo matemático y hacer las suposiciones necesarias.
3) escribir las ecuaciones diferenciales que describen el sistema
4)resolver las ecuaciones para las variables de salida
5)evaluar el resultado y las hipótesis.
6) si es necesario se recomienda regresar al paso 1
MODELACIÓN DE SISTEMAS MECÁNICOS.
SISTEMA MASA-FUERZA
MOVIMIENTO TRASLACIONAL.
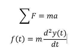
este primer modelo describe el comportamiento de un sistema de masa simple modelado por ecuaciones diferenciales la masa m es un valor constante y la aceleración se comporta como una derivada en el tiempo de hecho depende del tiempo. bien lo pude haber tomado o descrito en el eje X pero como se va a modelar un sistema usted lo puede tomar como quiera.
SISTEMA FUERZA RESORTE
SISTEMA FUERZA -AMORTIGUADOR
a continuación se muestran los dos modelos que describen los sistemas de control basados en mecánica clásica como son: un sistema masa-resorte y amortiguador resorte. ideales para extraer ecuaciones características y generar sus respectivas transformadas.
CIRCUITOS ELÉCTRICOS
circuito RLC

primeramente se plantea mallas para este sistema.
luego,
organizando la ecuación diferencial. e igualando a voltaje que de negativo pasa a positivo finalmente la ecuación queda de la siguiente manera:
con esta ecuación puedo fácilmente modelar un circuito RC
para mezclar estos sistemas mecánicos con sistemas eléctricos se debe tener en cuenta la ecuación diferencial que lo modela incluyendo la suma de dichos modelos. en el próximo post entregaremos una serie de ejercicios donde se nos pide modelar la ecuación diferencial. SALUDOS
CONTENIDOS MÁS RELEVANTES.



















