En electrónica básica muchos ejercicios parecen simples… hasta que aparece una fuente negativa y un diodo en el camino. En este ejemplo analizamos paso a paso un circuito con diodo de silicio, dos resistencias y dos fuentes de alimentación, aplicando leyes fundamentales y no suposiciones.

¿Qué se hizo en este ejercicio?
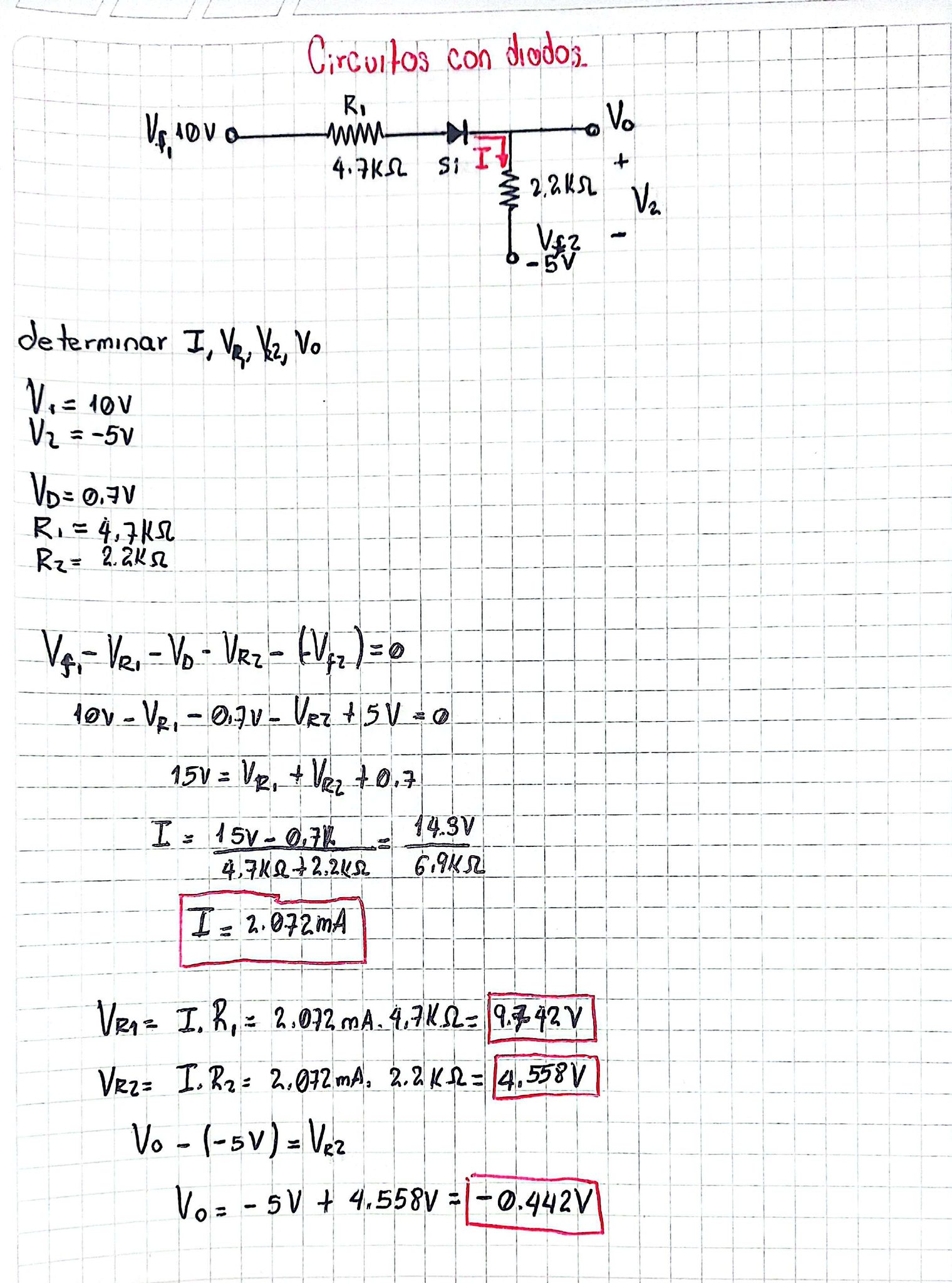
El circuito está compuesto por:
-
Una fuente positiva: V₁ = 10 V
-
Una fuente negativa: V₂ = −5 V
-
Un diodo de silicio (caída aproximada Vᴅ = 0,7 V)
-
Resistencias:
-
R₁ = 4,7 kΩ
-
R₂ = 2,2 kΩ
-
El objetivo fue determinar la corriente del circuito (I), las caídas de tensión en cada resistencia y el voltaje de salida V₀.
Primero, se asume el diodo en conducción (lo cual luego se confirma), y se aplica la Ley de Voltajes de Kirchhoff (LVK) alrededor del lazo completo. Un punto clave es entender que la fuente de −5 V no resta, sino que aumenta el voltaje total del lazo, elevándolo a 15 V efectivos.
Con esto:
-
Se calcula la corriente total del circuito.
-
Luego, usando la ley de Ohm, se obtienen las caídas de tensión en R₁ y R₂.
-
Finalmente, se determina el voltaje de salida V₀, referenciado a la fuente negativa.
Todo el procedimiento se muestra claramente en la imagen, sin saltos mágicos ni resultados “por intuición”.
¿Qué se aprende realmente aquí?
Este ejercicio deja varias lecciones importantes:
-
Un diodo no se analiza aislado, siempre depende del contexto del circuito.
-
Las fuentes negativas no son errores, son herramientas.
-
Aplicar bien Kirchhoff evita confusiones comunes con signos y polaridades.
-
Un valor de salida negativo no implica que algo esté mal, solo refleja la referencia elegida.
Conclusión
Este tipo de ejercicios demuestra por qué en electrónica pensar en términos de lazo y referencias es más importante que memorizar fórmulas. Un circuito sencillo puede esconder trampas conceptuales si no se analiza con método.
Si quieres dominar electrónica analógica de verdad, no basta con saber que un diodo cae 0,7 V: hay que entender dónde, por qué y con respecto a qué.
📘 En Sensoricx seguimos resolviendo electrónica con criterio de ingeniería
Excelente se le agradece enormemente saludos y feliz u venturoso 2026