ANALISIS MATEMATICO DE UN CIRCUITO RC


Resumen En la reciente práctica de laboratorio se experimentó con un circuito compuesto de resistencia capacitor (RC). A través de la experimentación se obtuvieron formas de onda características, se analizaron valores de voltaje tanto estable y estado transiente y todo se efectuó con un instrumento de medición llamado osciloscopio y la inyección de la forma de onda se realizó con un generador de funciones específicamente ajustado en onda cuadrada con una frecuencia y un voltaje de onda especifico.

Índice de Términos, resistencia, capacitor, estado transiente, estado estable, forma de onda, osciloscopio, generador de onda cuadrada.

INTRODUCCIÓN

 

 un circuito RC es un tipo de configuración compuesta por una resistencia y un capacitor cuyos elementos pueden estar conectados en serie o en paralelo. Dentro de este tipo de circuitos tenemos los de primer orden que son simple resistencia y capacitor. La ventaja de trabajar con estos circuitos es que pueden filtrar una señal y bloquear ciertas frecuencias dejando pasar otras. Una de sus caracteristicas principales es que la corriente puede variar en el tiempo y asumimos que cuando este es cero, el condensador se encuentra completamente descargado, una vez empieza a correr el tiempo el condensador empieza a cargarse debido a la corriente presente en el circuito.
analisis de un circuito RC
OBJETIVO
GENERAL
·         Realizar el montaje de un circuito RC para su posterior análisis cuando se le inyectan varios tipos de señal.
ESPECIFICOS
·         Analizar un circuito RC excitado con una señal cuadrada
EQUIPO REQUERIDO
1 resistencia de 1kΩ
1 generador de funciones
1 osciloscopio
1 condensador de 0,1 uF
1 protoboard
PROCEDIMIENTO
1-       Se seleccionó una resistencia de 1k un condensador de 0.1 uF y se monta el circuito mostrado en la figura N°1.
2-       Se aplicó una señal cuadrada de 5vpp y una frecuencia de 500Hz que nos permitía observar la onda completamente.
3-       se observó y se midió con el osciloscopio el tiempo desde la iniciación de la onda hasta el punto en el cual se estabiliza con su valor máximo.
4-       se trazó una recta tangente desde el punto (0,0) hasta encontrar el máximo valor para así determinar el tiempo. Este corresponde a la constante de tiempo τ
5-       se repitió el procedimiento de los numerales 3 y 4 para la caida de la señal de salida desde su valor máximo a cero.
6-       se repitió el procedimiento de los numerales 3-4-5 para la señal de salida sobre la resistencia y se completó la tabla propuesta.
 
RESULTADOS OBTENIDOS
analisis de un circuito RC
 
tabla N°1 resultados de los voltajes de caida y subida del condensador y la resistencia para un estado transiente y un estado estable.
 
analizar cómo es la variación de voltaje en el condensador y en la resistencia, en el instante en que la señal cuadrada pasa de 0 a 5 volts y de 5 a 0 volts?
2- R/ podemos decir que la señal de entrada tanto en capacitor como en resistor será la misma teniendo en cuenta que depende del tipo de señal. Para el caso de la onda cuadrada el estado transiente y estable se da por tramos y depende directamente de esta, el estado transiente ocurre tanto en la carga como en la descarga del capacitor y de acuerdo a esto podemos decir que el capacitor actúa como un filtro para la señal de onda cuadrada. En cuanto a la resistencia su función es permitir la descarga del flujo de energía almacenado en el condensador.
la gráfica mostrada en simulación muestra como se dá el efecto de la señal en el capacitor y en la resistencia cuando el pulso pasa de 0 a 5 volts y de 5 volts pasa a cero volts
 
analisis de un circuito RC
 
 fig N°2 fase de carga y descarga del capacitor cuando llega a un estado transiente y a estado estable en 5V a 0V
 
analisis de un circuito RC
 
fig N° 3 señal de salida sobre la resistencia
3- como es el voltaje en estado estable para el condensador, la resistencia y la corriente del circuito?
5 volts para el condensador en estado estable, siempre y cuando haya subida de la variable mencionada. y para la resistencia es 0 volts y la corriente es cero ya que el capacitor alcanzo su estado estable es decir se cargó
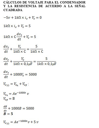
CÁLCULOS DE VOLTAJE PARA EL CONDENSADOR Y LA RESISTENCIA DE ACUERDO A LA SEÑAL CUADRADA.
analisis de un circuito RC

 

analisis de un circuito RC
de acuerdo a lo observado en lo que respecta a la obtención de datos de estados estable y transiente vemos que para la primera en cuanto al voltaje en cuanto al capacitor si se ha obtenido el valor correspondiente esperado que fueron 5 volts de subida y 0 volts de caída de igual forma aplica que se obtuvo 0 volts para la subida en lo que respecta al voltaje de la resistencia. para el estado transiente ocurre lo mismo estableciendo una ecuación en transiente de 5 volts como valor máximo y caída 5 volts a cero para constantes de tiempo de 0.1 mS. Este fenómeno ocurre tanto en el resistor como en el capacitor. Se comprueba correctamente la teoría.
CONCLUSIONES

Los circuitos RC son circuitos que están compuestos por una resistencia y un condensador

los circuitos RC se caracterizan por que la corriente puede variar con el tiempo. Cuando el tiempo es igual a cero, el condensador está descargado, en el momento que empieza a correr el tiempo, el condensador comienza a cargarse ya que hay una corriente en el circuito. Debido al espacio entre las placas del condensador, en el circuito no circula corriente, es por eso que se utiliza una resistencia.

Deja un comentario